993. Cousins in Binary Tree
Easy
Given the root of a binary tree with unique values and the values of two different nodes of the tree x and y, return true if the nodes corresponding to the values x and y in the tree are cousins, or false otherwise.
Two nodes of a binary tree are cousins if they have the same depth with different parents.
Note that in a binary tree, the root node is at the depth 0, and children of each depth k node are at the depth k + 1.
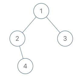
Example 1:

Input: root = [1,2,3,4], x = 4, y = 3
Output:
falseExample 2:

Input: root = [1,2,3,null,4,null,5], x = 5, y = 4
Output:
trueExample 3:

Input: root = [1,2,3,null,4], x = 2, y = 3
Output:
false
Constraints:
The number of nodes in the tree is in the range
[2, 100].1 <= Node.val <= 100Each node has a unique value.
x != yxandyare exist in the tree.
Last updated