102. Binary Tree Level Order Traversal
Medium
Given the root of a binary tree, return the level order traversal of its nodes' values. (i.e., from left to right, level by level).
Example 1:

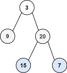
Input: root = [3,9,20,null,null,15,7]
Output: [[3],[9,20],[15,7]]Example 2:
Input: root = [1]
Output: [[1]]Example 3:
Input: root = []
Output: []
Constraints:
The number of nodes in the tree is in the range
[0, 2000].-1000 <= Node.val <= 1000
Last updated