105. Construct Binary Tree from Preorder and Inorder Traversal
Medium
Given two integer arrays preorder and inorder where preorder is the preorder traversal of a binary tree and inorder is the inorder traversal of the same tree, construct and return the binary tree.
Example 1:

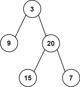
Input: preorder = [3,9,20,15,7], inorder = [9,3,15,20,7]
Output: [3,9,20,null,null,15,7]Example 2:
Input: preorder = [-1], inorder = [-1]
Output: [-1]
Constraints:
1 <= preorder.length <= 3000inorder.length == preorder.length-3000 <= preorder[i], inorder[i] <= 3000preorderandinorderconsist of unique values.Each value of
inorderalso appears inpreorder.preorderis guaranteed to be the preorder traversal of the tree.inorderis guaranteed to be the inorder traversal of the tree.
Last updated