226. Invert Binary Tree
Easy
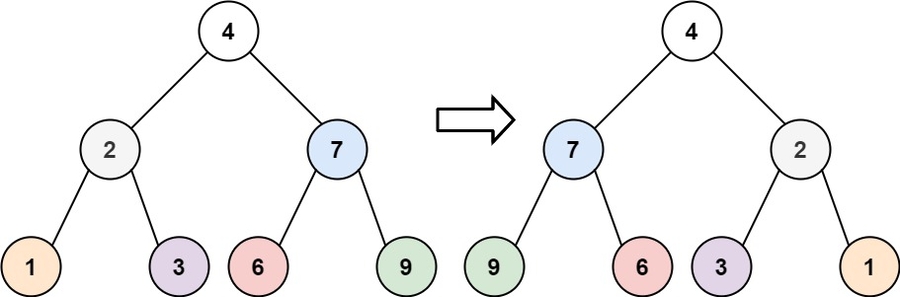
Given the root of a binary tree, invert the tree, and return its root.
Example 1:

Input: root = [4,2,7,1,3,6,9]
Output: [4,7,2,9,6,3,1]Example 2:

Input: root = [2,1,3]
Output: [2,3,1]Example 3:
Input: root = []
Output: []
Constraints:
The number of nodes in the tree is in the range
[0, 100].-100 <= Node.val <= 100
Last updated