143. Reorder List
Medium
You are given the head of a singly linked-list. The list can be represented as:
L0 β L1 β β¦ β Ln - 1 β LnReorder the list to be on the following form:
L0 β Ln β L1 β Ln - 1 β L2 β Ln - 2 β β¦You may not modify the values in the list's nodes. Only nodes themselves may be changed.
Example 1:

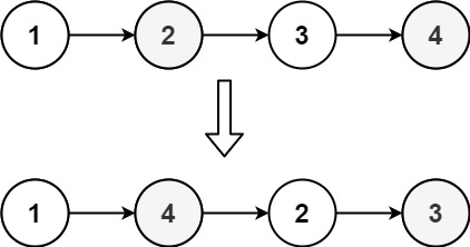
Input: head = [1,2,3,4]
Output: [1,4,2,3]Example 2:

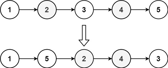
Input: head = [1,2,3,4,5]
Output: [1,5,2,4,3]
Constraints:
The number of nodes in the list is in the range
[1, 5 * 104].1 <= Node.val <= 1000
Last updated