111. Minimum Depth of Binary Tree
Easy
Given a binary tree, find its minimum depth.
The minimum depth is the number of nodes along the shortest path from the root node down to the nearest leaf node.
Note: A leaf is a node with no children.
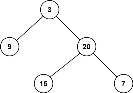
Example 1:

Input: root = [3,9,20,null,null,15,7]
Output:
2Example 2:
Input: root = [2,null,3,null,4,null,5,null,6]
Output:
5
Constraints:
The number of nodes in the tree is in the range
[0, 105].-1000 <= Node.val <= 1000
Last updated