543. Diameter of Binary Tree
Easy
Given the root of a binary tree, return the length of the diameter of the tree.
The diameter of a binary tree is the length of the longest path between any two nodes in a tree. This path may or may not pass through the root.
The length of a path between two nodes is represented by the number of edges between them.
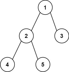
Example 1:

Input: root = [1,2,3,4,5]
Output: 3
Explanation: 3 is the length of the path [4,2,1,3] or [5,2,1,3].Example 2:
Input: root = [1,2]
Output: 1
Constraints:
The number of nodes in the tree is in the range
[1, 104].-100 <= Node.val <= 100
Last updated