110. Balanced Binary Tree
Easy
Given a binary tree, determine if it is height-balanced.
For this problem, a height-balanced binary tree is defined as:
a binary tree in which the left and right subtrees of every node differ in height by no more than 1.
Example 1:

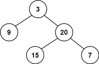
Input: root = [3,9,20,null,null,15,7]
Output: trueExample 2:

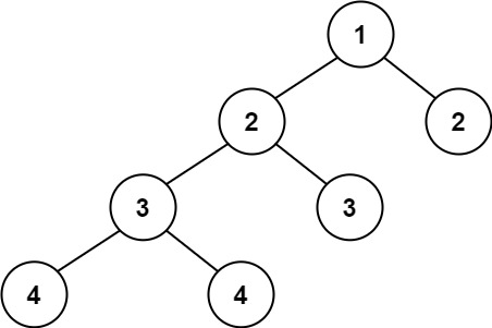
Input: root = [1,2,2,3,3,null,null,4,4]
Output: falseExample 3:
Input: root = []
Output: true
Constraints:
The number of nodes in the tree is in the range
[0, 5000].-104 <= Node.val <= 104
Last updated