104. Maximum Depth of Binary Tree
Easy
Given the root of a binary tree, return its maximum depth.
A binary tree's maximum depth is the number of nodes along the longest path from the root node down to the farthest leaf node.
Example 1:

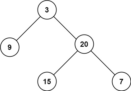
Input: root = [3,9,20,null,null,15,7]
Output: 3Example 2:
Input: root = [1,null,2]
Output: 2
Constraints:
The number of nodes in the tree is in the range
[0, 104].-100 <= Node.val <= 100
Last updated