206. Reverse Linked List
Easy
Given the head of a singly linked list, reverse the list, and return the reversed list.
Example 1:

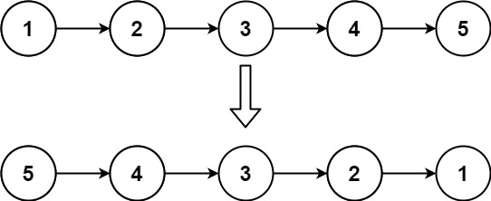
Input: head = [1,2,3,4,5]
Output: [5,4,3,2,1]Example 2:

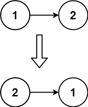
Input: head = [1,2]
Output: [2,1]Example 3:
Input: head = []
Output: []
Constraints:
The number of nodes in the list is the range
[0, 5000].-5000 <= Node.val <= 5000
Follow up: A linked list can be reversed either iteratively or recursively. Could you implement both?
Last updated