98. Validate Binary Search Tree
Medium
Given the root of a binary tree, determine if it is a valid binary search tree (BST).
A valid BST is defined as follows:
The left subtree of a node contains only nodes with keys less than the node's key.
The right subtree of a node contains only nodes with keys greater than the node's key.
Both the left and right subtrees must also be binary search trees.
Example 1:

Input: root = [2,1,3]
Output: trueExample 2:

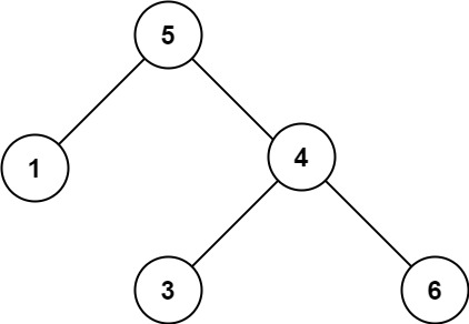
Input: root = [5,1,4,null,null,3,6]
Output: false
Explanation: The root node's value is 5 but its right child's value is 4.
Constraints:
The number of nodes in the tree is in the range
[1, 104].-231 <= Node.val <= 231 - 1
Last updated