199. Binary Tree Right Side View
Medium
Given the root of a binary tree, imagine yourself standing on the right side of it, return the values of the nodes you can see ordered from top to bottom.
Example 1:

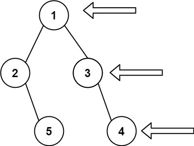
Input: root = [1,2,3,null,5,null,4]
Output: [1,3,4]Example 2:
Input: root = [1,null,3]
Output: [1,3]Example 3:
Input: root = []
Output: []
Constraints:
The number of nodes in the tree is in the range
[0, 100].-100 <= Node.val <= 100
Last updated