112. Path Sum
Easy
Given the root of a binary tree and an integer targetSum, return true if the tree has a root-to-leaf path such that adding up all the values along the path equals targetSum.
A leaf is a node with no children.
Example 1:

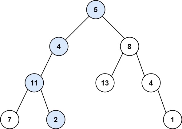
Input: root = [5,4,8,11,null,13,4,7,2,null,null,null,1], targetSum = 22
Output:
true
Explanation:
The root-to-leaf path with the target sum is shown.Example 2:

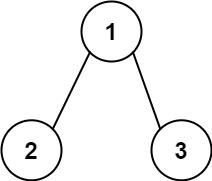
Input: root = [1,2,3], targetSum = 5
Output:
false
Explanation:
There two root-to-leaf paths in the tree:
(1 --> 2): The sum is 3.
(1 --> 3): The sum is 4.
There is no root-to-leaf path with sum = 5.Example 3:
Input: root = [], targetSum = 0
Output:
false
Explanation:
Since the tree is empty, there are no root-to-leaf paths.
Constraints:
The number of nodes in the tree is in the range
[0, 5000].-1000 <= Node.val <= 1000-1000 <= targetSum <= 1000
Last updated