19. Remove Nth Node From End of List
Medium
Given the head of a linked list, remove the nth node from the end of the list and return its head.
Example 1:

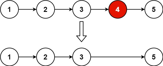
Input: head = [1,2,3,4,5], n = 2
Output: [1,2,3,5]Example 2:
Input: head = [1], n = 1
Output: []Example 3:
Input: head = [1,2], n = 1
Output: [1]
Constraints:
The number of nodes in the list is
sz.1 <= sz <= 300 <= Node.val <= 1001 <= n <= sz
Follow up: Could you do this in one pass?
Last updated