230. Kth Smallest Element in a BST
Medium
Given the root of a binary search tree, and an integer k, return the kth smallest value (1-indexed) of all the values of the nodes in the tree.
Example 1:

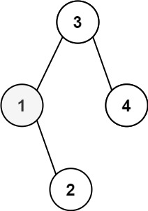
Input: root = [3,1,4,null,2], k = 1
Output: 1Example 2:

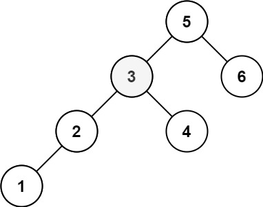
Input: root = [5,3,6,2,4,null,null,1], k = 3
Output: 3
Constraints:
The number of nodes in the tree is
n.1 <= k <= n <= 1040 <= Node.val <= 104
Follow up: If the BST is modified often (i.e., we can do insert and delete operations) and you need to find the kth smallest frequently, how would you optimize?
Last updated